رزین پلی استر غیر اشباع ایزوفتالیک در صنایع دریایی، صنایع هوایی و نیز صنایعی که نیاز به خواص بالاتر و مهندسی تر باشد بکار می رود. رزین پلی استر ایزوفتالیک بوشهر، جزء برترین رزین های ایزو در بازار می باشد که توانسته جایگاه خود را در بین مصرف کنندگان داخلی و خارجی پیدا کند و از رقبای سرسخت این صنعت باشد. جهت خرید رزین باکیفیت و با قیمت مناسب با ما تماس بگیرید.
امروزه کامپوزیت های پلیمری کاربردهای وسیعی در ساخت کشتی ها و دیگر تجهیزات دریایی دارند. گسترش صنعت کشتی سازی در ایران نیز باعث افزایش کاربرد کامپوزیت های پلیمری در صنایع دریایی شده است. این در حالی است که کامپوزیت مورد استفاده بیشتر وارداتی و غیر بومی می باشد.

بهترین رزین پلی استر در ساخت کامپوزیت های دریایی چیست؟
ساخت کامپوزیت ها با استفاده از رزین پلی استر و الیاف شیشه بیشترین حجم مصرف برای ساخت تجهیزات دریایی را به خود اختصاص داده است. پارمتر بسیار مهم در ساخت کامپوزیت های پلیمری میزان جذب آب می باشد. بطوریکه هر چه میزان جذب آب بیشتر باشد، امکان تخریب بیشتر می شود. از آنجا که استفاده از رزین های پلی استر در کاربرد های دریایی بالا است، لزوم اصلاح آن اجتناب ناپذیر می باشد. از این رو رزین پلی استر ایزوفتالیک به عنوان رزین اصلاح شده نسبت به رزین پلی استر اورتوفتالیک، خواص بالاتری در برخود با آب دریا از خود نشان می دهد.

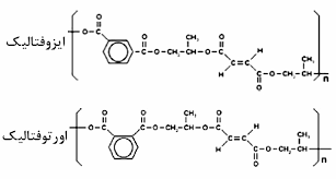
تفاوت رزین ایزوفتالیک و اورتوفتالیک:
تنها تفاوت رزین ایزوفتالیک و اورتوفتالیک یک موقعیت حلقه آروماتیک می باشد. دو گروه متصل به حلقه آروماتیک در ایزوفتالیک در موقعیت متا قرار دارند در حالی که موقعیت آنها در اورتوفتالیک اورتو می باشد. همین تفاوت کوچک باعث اختلاف در ضریب نفوذ آب و همچنین خواص فیزیکی و مکانیکی متفاوت در آنها می شود.

نحوه خرید:
جهت خرید رزین غیر اشباع ایزوفتالیک از طریق راه های ارتباطی زیر با ما تماس بگیرید، تا با دریافت نمونه رایگان و مشاوره از کارشناسان خرید خوبی داشته باشید.









